ÄúÄ¿½ñµÄλÖãº ÍøÕ¾Ê×Ò³ > ÐÂÎÅÖÐÐÄ > ¾ÅÖÝ¿áÓιÙÍøÐÂÎÅ >
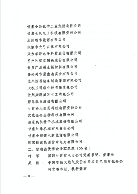
12ÔÂ24ÈÕ£¬¸ÊËàʡȫʡǿ¹¤ÒµÐж¯Íƽø´ó»áôßÏȽøÆóÒµºÍÓÅÒìÆóÒµ¼Ò±íÑï´ó»áÔÚÀ¼ÖÝÕÙ¿ª£¬Ê¡Î¯Êé¼Çºú²ýÉý³öϯ¾Û»á²¢½²»°¡£Ê¡Î¯¸±Êé¼Ç¡¢Ê¡³¤ÈÎÕñº×Ö÷³Ö¾Û»á¡£¾Û»á±íÑïÁË98¼ÒÏȽøÆóÒµºÍ56ÃûÓÅÒìÆóÒµ¼Ò£¨»ñ½±Ãûµ¥¸½Îĺ󣩣¬¾ÅÖÝ¿áÓιÙÍøÈÙâß¡°¸ÊËàÊ¡ÏȽøÆóҵͻ³öТ˳½±¡±£¬¶Ê³¤ÍõºÆÓîÈÙâß¡°¸ÊËàÊ¡ÓÅÒìÆóÒµ¼Ò¡±³Æºô¡£


¸ÊËàÊ¡ÏȽøÆóÒµºÍÓÅÒìÆóÒµ¼ÒÍÆ¼öÆÀÑ¡ÊÂÇ鯾֤×Ô϶øÉÏ¡¢Öð¼¶ÍƼö¡¢²î¶îÆÀÑ¡¡¢ÃñÖ÷ÔñÓŵķ½·¨£¬¾Ê¡ÏȽøÆóÒµºÍÓÅÒìÆóÒµ¼ÒÆÀÉóίԱ»áÆÀÉó£¬Ê¡ÏȽøÆóÒµºÍÓÅÒìÆóÒµ¼ÒÆÀÑ¡±íÑïÔ˶¯Ïòµ¼Ð¡×éÉóºË£¬Ê¡Õþ¸®³£Îñ¾Û»áÉóÒ飬±íÑïÁ˰üÀ¨¾ÅÖÝ¿áÓιÙÍø½ÚË®ÔÚÄÚµÄ32»§ÆóҵΪ¸ÊËàÊ¡ÏȽøÆóҵͻ³öТ˳½±»ñµÃÕߣ¬Í¬Ê±±íÑïÁ˰üÀ¨¼¯ÍŶʳ¤ÍõºÆÓîÔÚÄÚµÄ56Ãûͬ־Ϊ¸ÊËàÊ¡ÓÅÒìÆóÒµ¼Ò¡£

¸ÊËàʡʡίÊé¼Çºú²ýÉý

¸ÊËàʡʡί¸±Êé¼Ç¡¢Ê¡³¤ÈÎÕñº×
±¾´Î¾Û»áÇ¿µ÷£¬ÒªÈÏÇåÐÂÐÎÊÆ£¬Á¢ºÜÊÇ֮־ǿ¹¤Òµ£¬ÒªÕÒ×¼Í»ÆÆ¿Ú£¬Ä±ºÜÊÇÖ®²ßÇ¿¹¤Òµ¡£×°±¸ÖÆÔ칤ҵҪ¼ÓËÙÉý¼¶£¬Íƶ¯¹¤ÒµÁ´¼ÓËÙתÐÍ£¬ÒªÅ¤×¡Òªº¦µã£¬¾ÙºÜÊÇÖ®Á¦Ç¿¹¤Òµ£»Òª×ÅÑÛÏÈ·¢¶¯ÄÜ£¬ÔöÇ¿ºó¾¢£¬Ç¿»¯Ö§³Ö£¬½ÓÄɳ¬Í¨ÀýµÄ²½·¥£¬ÄóöÓ²ÕÐʵÕУ¬Íƶ¯¹¤ÒµÉú³¤£¬×ÅÁ¦ÌáÉý¹¤ÒµÆóÒµµÄ»îÔ¾¶ÈºÍ¾ºÕùÁ¦£»ÒªÏòË¢ÐÂÒª¶¯Á¦¡¢ÏòÁ¢ÒìÒª»îÁ¦¡¢ÏòÊý×ÖҪDZÁ¦¡¢ÏòÔ°ÇøÒªÒýÁ¦¡¢ÏòÕþ²ßºÍÒªËØÒªÍÆ½ø£¬Ò»Ö±Ôö½ø¹¤Òµ¾¼ÃÉú³¤£»ÒªÌá¸ßÖ´ÐÐÁ¦£¬ÓúÜÊÇÖ®ÕÐÇ¿¹¤Òµ£»Òª½¨É蹤ҵר°àÖÆ¶È£¬¸÷ר°àҪǿ»¯ÏàͬÎÞ·ì¶Ô½Ó£¬¸÷ר°àǣͷ²¿·ÖÒªÂäʵÔðÈÎÆë×¥¹²¹Ü£¬ÐγÉÐÁ¦£»Òª½¨Éè°ïÁªÆóÒµÖÆ¶È£¬ÊµÏÖȫʡ¹¤ÒµÆóÒµ°ïÁªÈ«ÁýÕÖ£¬¼ÓËÙʵÑéÇ¿¹¤ÒµÐж¯£¬Æð¾¢Íƶ¯È«Ê¡¹¤Òµ¸ßÖÊÁ¿Éú³¤¡£

¾ÅÖÝ¿áÓιÙÍø½ÚË®×÷Ϊһ¼Ò´Ó¸ÊËà¾ÆÈª×ßÏòÌìϵĴ´Òµ°åÊ×ÅúÉÏÊй«Ë¾£¬Éî¸ûũˮӪҵÁìÓò20ÓàÄ꣬ʼÖÕרע²¢ÖÂÁ¦ÓÚũҵ¡¢Å©´å¡¢Å©Ãñ¡¢Ë®×ÊÔ´ÎÊÌâµÄ½â¾öºÍ·þÎñ¡£¹«Ë¾Î§ÈÆ¡°ÈýÅ©ÈýË®¡±£¨Å©Òµ¸ßЧ½ÚË®¡¢Å©´åÎÛË®ÖÎÀí¡¢Å©ÃñÇå¾²ÒûË®£©£¬Òâ»áÈýÍøÈںϣ¨Ë®Íø¡¢ÐÅÏ¢Íø¡¢·þÎñÍø£©µÄÉú³¤Ë¼Ð÷£¬½¨ÉèÁËÍýÏë¡¢Éè¼Æ¡¢½¨Éè¡¢ÖÆÔ졢Ͷ×Ê¡¢ÔËÓª¼°ÐÅÏ¢»¯µÄÈ«¹¤ÒµÁ´¡£ÔÚ×öÇ¿Éú²úÖÆÔìÒµµÄ»ù´¡Ö®ÉÏ£¬Ò»Ö±Á¢Ò죬ÌáÉýÖÇÄÜÖÆÔìºÍÐÅÏ¢»¯½¨Éèˮƽ¡£2016Ä꣬¾ÅÖÝ¿áÓιÙÍøÈÙ»ñ¹ú¼Ò¿Æ¼¼Ç°½ø¶þµÈ½±£¬Æ¾Ö¤¡¶¡°Ê®ËÄÎ塱ÖÇÄÜÖÆÔìÉú³¤ÍýÏë¡·£¬2022ÄêÀÖ³ÉÉ걨¹ú¼Ò·¢¸ÄίÏÖ´ú·þÎñҵרÏî ¡°¾ÅÖÝ¿áÓιÙÍø½ÚË®²úÆ·È«ÉúÃüÖÜÆÚ¹ÜÀíÄÜÁ¦ÌáÉýÏîÄ¿¡±¡£¾ÅÖÝ¿áÓιÙÍø½ÚË®ÒÔ¿ÆÑ§ÌåÀýÔËÓªÍýÏë°ü¹Ü¿â´æÊµÊ±¹©»õ£¬ÊµÏÖ²ú¡¢¹©¡¢Ïúƽºâ£»ÒÔ¾«Ò滯Éú²ú¹ÜÀí£¬ÊµÏÖÖÊÁ¿Ä¿µÄ£¬ÔÚÌìÏ´òÔìÎå¸öÉú²ú»ùµØ£¨ÆäÖÐÈý¸öÔÚ¸ÊËàÊ¡£©£»Í¨¹ý¿ÆÑ§µÄÔËÓªÍýÏëÌåÀý¡¢ÅŲúÍýÏëÂäʵ¡¢Éú²úÀú³ÌÖÊÁ¿°ü¹Ü¡¢±¾Ç®¿ØÖÆ£¬Ö÷ÓªÉú²úµÎ¹à¹Ü£¨´ø£©¡¢Åç¹à×°±¸¡¢¹ýÂË×°±¸¡¢Ê©·Ê×°±¸¡¢ÊäÅäË®¹Ü²Ä¼°¹ÜÅä¼þ¡¢²â¿ØÒ»Ì廯բÃÅ¡¢ÖÇÄÜË®±í¡¢ÎÛË®´¦Öóͷ£×°±¸µÈ9´óÀà30¶à¸öϵÁнü1500¸öÆ·ÖֵĽÚË®½½¹à²úÆ·£¬Ê¹µÃ²úÆ·¿Í»§ÆÕ±éÌìÏ£¬ÏúÍùÈ«ÌìÏÂ50¶à¸ö¹ú¼ÒºÍµØÇø¡£
ƾ֤ˮÀû²¿¡°ÐèÇóÇ£Òý¡¢Ó¦ÓÃÖÁÉÏ¡¢Êý×Ö¸³ÄÜ¡¢ÌáÉýÄÜÁ¦¡±Êý×ÖÖÎˮ˼Ð÷£¬¾ÅÖÝ¿áÓιÙÍø½ÚˮһֱÔöǿˮÀûÐÅÏ¢»¯µÄÑз¢ºÍʵ¼ù£¬Ò»Ö±ÍêÉÆÏÖ´úũҵÔËÓª·þÎñºÍ¿Æ¼¼Ñз¢ÖÐÐĽ¨É裬ÕûºÏ¾«Á¿»¯µÎ¹à´ø¡¢ÖÇÄÜË®±í¡¢²â¿ØÒ»Ì廯բÃÅ¡¢ÎÛË®´¦Öóͷ£Ä¤µÈ½¹µãÓ²¼þÉèÊ©³ÉΪÁ¢Ìå¸ÐÖª¡¢Öǻ۾öÒé¡¢×Ô¶¯¿ØÖÆ¡¢¶àάÏÔʾµÈ¹¦Ð§µÄ¡°½½¹à´óÄÔ¡±¡£ÒÔ͸³¹¸ÐÖª¡¢ÖÜÈ«»¥Áª¡¢Éî¶ÈÍÚ¾ò¡¢ÖÇÄÜÓ¦ÓᢷºÔÚ·þÎñ¡¢×ۺϾöÒéΪ»ù±¾ÌØÕ÷µÄ¾ÅÖÝ¿áÓιÙÍø½ÚË®µÄË®ÀûÐÅÏ¢»¯SaaSÔÆÆ½Ì¨ÔÚ½ñÄê12ÔÂͨ¹ýÑéÊÕ£¬²¢ÕýʽÉÏÏßÔËÐУ»ÌØÊâÊÇÇ¡·êÊý×ÖÂÏÉúÁ÷Óò½¨ÉèµÄÖØ´óʱ»ú£¬¾ÅÖÝ¿áÓιÙÍø½ÚË®ÒÔÉîÖ¿µÄÊÖÒÕ»ýÀÛ¼°ÓÅÒìµÄÓªÒµ¿Ú±®£¬Ó®µÃÊý×ÖÂÏÉúÊèÀÕºÓ£¨Êý×Ö¹àÇø£©ÏîÄ¿¡¢ºþÄÏÅ·Ñôº£¹àÇø¡¢¾ÅÖÝ¿áÓιÙÍø¶É¹àÇø¡¢·áÀÖºÓ¹àÇøµÈÏîÄ¿µÄ½¨Éèʱ»ú£¬ÆäÖÐÅ·Ñôº£¹àÇøË®Àû¹¤³ÌÏîÄ¿ºÍÊèÀÕºÓ¹àÇøÏîÄ¿ÈëÑ¡2022Äê12ÔÂ27ÈÕË®Àû²¿Êý×ÖÂÏÉúÁ÷Óò½¨ÉèÏÈÐÐÏÈÊÔÓ¦Óð¸ÀýÍÆ¼öÃû¼£¨2022Ä꣩ÖÐ32ÏîÓÅÒìÓ¦Óð¸ÀýÖеÄ2Ï´òÔìÁËÆðµã¸ß¡¢¶¨Î»¸ß¡¢±ê×¼¸ßµÄË®ÀûÐÅÏ¢»¯¡°Ñù±¾¡±ÏîÄ¿£¬ÖÜÈ«ÖúÁ¦¸ßÖÊÁ¿Éú³¤¡£
µ³µÄ¶þÊ®´óʤÀûÕÙ¿ª£¬ë¢»ÁËÒÔÖйúʽÏÖ´ú»¯ÖÜÈ«ÍÆ½øÖлªÃñ×åΰ´óÔÙÆðµÄÐÛΰÀ¶Í¼£¬¾ÅÖÝ¿áÓιÙÍø½ÚË®ÔÙ´ÎÕ¾µ½ÁËÒªº¦µÄÀúÊ·½Úµã¡£Ð§¹ûºÍÉùÓþÒѾ¹éÓÚÀúÊ·£¬È«Ìå¾ÅÖÝ¿áÓιÙÍøÈ˽«ÓÀÔ¶¡°Ìýµ³»°¡¢¸Ðµ³¶÷¡¢¸úµ³×ß¡±£¬³Ë×ŵ³µÄ¶þÊ®´óʤÀûÕÙ¿ªµÄ´º·ç£¬²»Íü³õÐÄ¡¢ÓÂÒãǰÐУ¬ÀÎÀÎÎ§ÈÆ¡°ÈÃũҵ¸üÖǻۣ¬ÈÃÅ©´å¸üÓÅÃÀ£¬ÈÃÅ©Ãñ¸üÐÒ¸£¡±µÄÆóҵʹÃü£¬Æð¾¢·¢»Ó¡°ÒÔ¾ÅÖÝ¿áÓιÙÍøÖÎË®¾«Éñ£¬×ö¾ÅÖÝ¿áÓιÙÍø½ÚË®ÊÂÒµ¡±µÄÆóÒµ¾«Éñ£¬Ò»Ö±ÖÂÁ¦ÓÚÐæÂäÕñÐË¡¢Æ¯ÁÁÖйúºÍÉú³¤µÄÂÌɫתÐÍ£¬Ò»Á¬ÒÔ¡°ÈýÅ©ÈýË®ÈýÕÅÍø¡±µÄ½¹µãÓªÒµ½â¾ö¼Æ»®ºÍ¡°Á½ÊÖ·¢Á¦¹²¼ÌÐø¡±µÄ½¹µãÓªÒµÉú³¤Ä£Ê½Íƶ¯¹«Ë¾Éú³¤£¬ÔÚÖйúʽÏÖ´ú»¯µÄ½¨Éèõè¾¶ÉÏÒ»Á¬Æð¾¢£¬ÔÚÍÆ¶¯¼ÒÏç¸ßÖÊÁ¿Éú³¤µÄõè¾¶ÉÏÔÙÁ¢Ð¹¦¡£






